北京公海gh555000aa线路检测过滤工程技术有限公司位于北京市丰台区南四环诺德中心,注册资金1000万元。公司在河南有建设基地202亩,厂房面积70000㎡,投资1.5亿元,是集生产、制造、科研、销售、国际贸易为一体的综合性科技型企业。
公司的产品有板框式压滤机、隔膜式压滤机、厢式压滤机、带式压榨过滤机、铸铁压滤机、不锈钢过滤器等产品。产品广泛应用于环保、矿业、冶金、医药、石油、化工、煤炭、食品等领域。

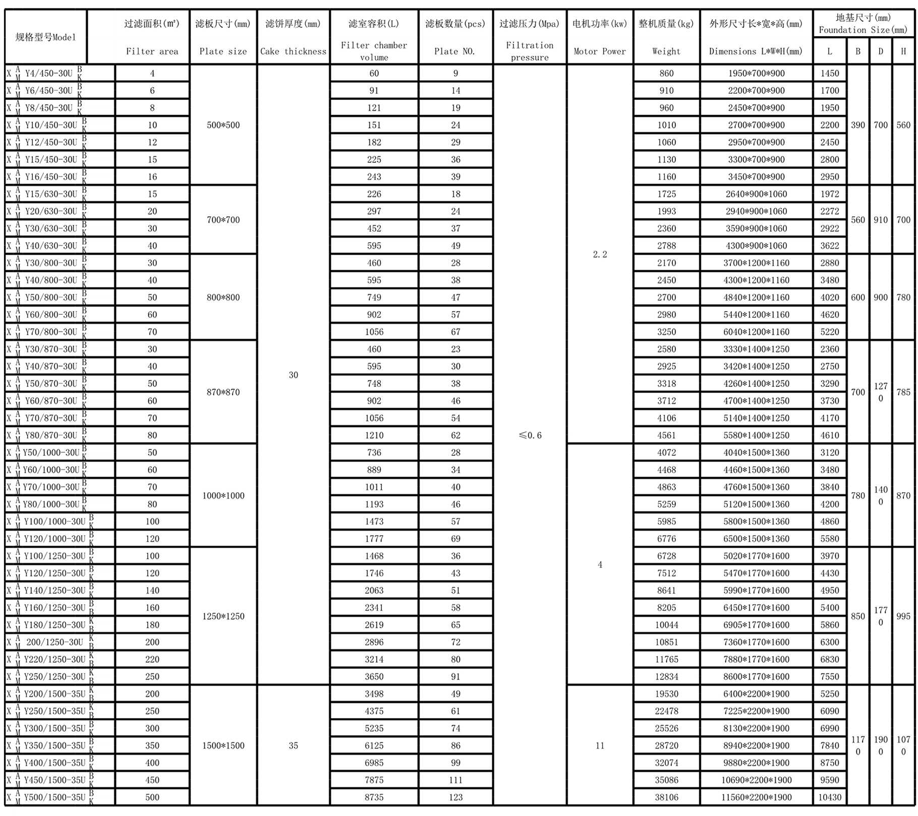
1500自动厢式

1250自动厢式

1250厢式手动

1000厢式自动水冲洗

1000手动厢式

870厢式快开

870手动厢式

630手动厢式

450手动厢式


