Product Center

首页 > 产品中心 > 压滤机系列 >
首页 > 产品中心 > 压滤机系列 > 隔膜压滤机

隔膜压滤机

北京公海gh555000aa线路检测过滤工程技术有限公司位于北京市丰台区南四环诺德中心,注册资金1000万元。公司在河南有建设基地202亩,厂房面积70000㎡,投资1.5亿元,是集生产、制造、科研、销售、国际贸易为一体的综合性科技型企业。
公司的产品有板框式压滤机、隔膜式压滤机、厢式压滤机、带式压榨过滤机、铸铁压滤机、不锈钢过滤器等产品。产品广泛应用于环保、矿业、冶金、医药、石油、化工、煤炭、食品等领域。

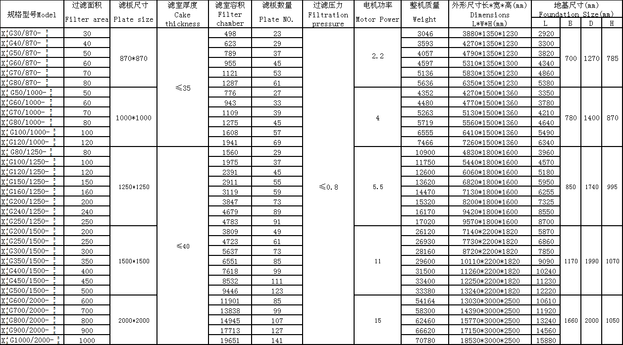
技术参数

1.png

产品详情

公海gh555000aa线路检测牌高压隔膜压滤机采用TPE隔膜技术,寿命长,稳定性好,通用性好,适用于多种行业。采用水压或气压压榨,压力可达到0.8-2.0MPa。

可变滤室技术在化工、医药、矿山等行业固液分离应用中,极大提高生产效率,降低含水率。

高压脱水技术在污泥脱水行业应用,滤饼含水率 低降低到符合填埋、焚烧标准(不同行业含水率有所变化),相比传统的脱水设备,滤饼重量体积减少一半;

整机可实现全自动化运行,配置滤布在线冲洗系统及电控阀门仪表,可实现无人值守。


上一篇 : 隔膜压滤机 下一篇 : 厢式压滤机

首页

关于公海gh555000aa线路检测

产品中心

电话咨询